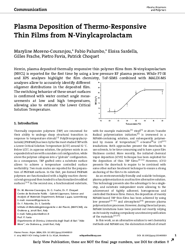
Pdf Optical Switching In Vo Sub 2 Films By Below Gap Excitation Claudio Giannetti Academia Edu
The name of the composer that produced the audio is enough Quote (Kent) Work cited listing goes a bit differently Don't forget to write the full name of the performer followed by the name and the year of recording and the year of release following the name of the studio Then goes the format Kent, AbdullahNetflix is a streaming service that allows our members to watch a wide variety of awardwinning TV shows, movies, documentaries, and more on thousands of internetconnected devices
Citation film recherche du bonheur
Citation film recherche du bonheur- To cite a movie in APA Style, you must add the following in order The director (s) of the movie as the author element of the reference, followed by the " (Director)" Date when the movie was released Provide as specific a date as possible although the year is enough The title of the movie (italicized), followed by " Film" in First, locate these details for the movie director, movie title, release date, distributor, distributor location, and medium (or format) The director can usually be found in the credits for the movie, or on the IMDb or Wikipedia page for the movie The movie title should be pretty straightforward – it's the name of the movie you're citing
Film Industry Wikipedia
Published Updated To cite a movie in MLA, it's helpful to know basic information including the movie title, contributors and production details The templates and examples below are based on the MLA Handbook, 9th edition If you're trying to cite a movie, the Chegg Writing MLA citation generator could helpUse the following format to cite a film in a reference list in APA style Template Director's Last Name, First Initial (Director) (Year) Name of the film Film Production Company Name Example Wheldon, J (Director) (12) The Avengers Film Marvel StudiosReference List Audiovisual Media Note This page reflects the latest version of the APA Publication Manual (ie, APA 7), which released in October 19 There is no equivalent resource for the older APA 6 style (ie, this page was written from scratch), but the old resource for electronic sources, which covers similar ground, can be found here
La citation de film la plus longue est « J'ai réfléchi à ce que tu m'avais dit l'autre jour, à propos de ma peinture ; Parents need to know that Citation is a drama based on real events in Nigeria about a college student who charges her professor with attempted rape Overall violence is rare, but the incident is shown with choking, a slap, unzipping pants, and a knee to the groin Another incident shows a man being dragged into the street and beaten with belts after trying to extort sexual 4 Add the title and format of the movie The title of the movie should be in italics, using sentencestyle capitalization Typically only the first word of the title and any proper names will be capitalized Include the format in which you viewed the movie in brackets after the title
Citation film recherche du bonheurのギャラリー
各画像をクリックすると、ダウンロードまたは拡大表示できます
Citations De Disney Etoile Des Neiges | Citations De Disney Etoile Des Neiges | ![]() Citations De Disney Etoile Des Neiges |
![]() Citations De Disney Etoile Des Neiges | ![]() Citations De Disney Etoile Des Neiges | Citations De Disney Etoile Des Neiges |
![]() Citations De Disney Etoile Des Neiges | ![]() Citations De Disney Etoile Des Neiges | Citations De Disney Etoile Des Neiges |
![]() Citations De Disney Etoile Des Neiges | ![]() Citations De Disney Etoile Des Neiges | ![]() Citations De Disney Etoile Des Neiges |
![]() Citations De Disney Etoile Des Neiges | ![]() Citations De Disney Etoile Des Neiges | Citations De Disney Etoile Des Neiges |
Citations De Disney Etoile Des Neiges | ![]() Citations De Disney Etoile Des Neiges | ![]() Citations De Disney Etoile Des Neiges |
![]() Citations De Disney Etoile Des Neiges | ![]() Citations De Disney Etoile Des Neiges | ![]() Citations De Disney Etoile Des Neiges |
Citations De Disney Etoile Des Neiges | Citations De Disney Etoile Des Neiges | ![]() Citations De Disney Etoile Des Neiges |
![]() Citations De Disney Etoile Des Neiges | ![]() Citations De Disney Etoile Des Neiges | ![]() Citations De Disney Etoile Des Neiges |
![]() Citations De Disney Etoile Des Neiges | ![]() Citations De Disney Etoile Des Neiges | Citations De Disney Etoile Des Neiges |
![]() Citations De Disney Etoile Des Neiges | ![]() Citations De Disney Etoile Des Neiges | ![]() Citations De Disney Etoile Des Neiges |
![]() Citations De Disney Etoile Des Neiges | ![]() Citations De Disney Etoile Des Neiges | Citations De Disney Etoile Des Neiges |
Citations De Disney Etoile Des Neiges | Citations De Disney Etoile Des Neiges | Citations De Disney Etoile Des Neiges |
![]() Citations De Disney Etoile Des Neiges | ![]() Citations De Disney Etoile Des Neiges | ![]() Citations De Disney Etoile Des Neiges |
![]() Citations De Disney Etoile Des Neiges | ![]() Citations De Disney Etoile Des Neiges | ![]() Citations De Disney Etoile Des Neiges |
![]() Citations De Disney Etoile Des Neiges | ![]() Citations De Disney Etoile Des Neiges | ![]() Citations De Disney Etoile Des Neiges |
![]() Citations De Disney Etoile Des Neiges | ![]() Citations De Disney Etoile Des Neiges | Citations De Disney Etoile Des Neiges |
![]() Citations De Disney Etoile Des Neiges | ![]() Citations De Disney Etoile Des Neiges | ![]() Citations De Disney Etoile Des Neiges |
Citations De Disney Etoile Des Neiges | ![]() Citations De Disney Etoile Des Neiges | ![]() Citations De Disney Etoile Des Neiges |
Citations De Disney Etoile Des Neiges | ![]() Citations De Disney Etoile Des Neiges | ![]() Citations De Disney Etoile Des Neiges |
![]() Citations De Disney Etoile Des Neiges | ![]() Citations De Disney Etoile Des Neiges | ![]() Citations De Disney Etoile Des Neiges |
Citations De Disney Etoile Des Neiges | ![]() Citations De Disney Etoile Des Neiges | ![]() Citations De Disney Etoile Des Neiges |
![]() Citations De Disney Etoile Des Neiges | ![]() Citations De Disney Etoile Des Neiges | ![]() Citations De Disney Etoile Des Neiges |
![]() Citations De Disney Etoile Des Neiges | ![]() Citations De Disney Etoile Des Neiges | ![]() Citations De Disney Etoile Des Neiges |
![]() Citations De Disney Etoile Des Neiges | ![]() Citations De Disney Etoile Des Neiges | ![]() Citations De Disney Etoile Des Neiges |
![]() Citations De Disney Etoile Des Neiges | ![]() Citations De Disney Etoile Des Neiges | ![]() Citations De Disney Etoile Des Neiges |
![]() Citations De Disney Etoile Des Neiges | ![]() Citations De Disney Etoile Des Neiges | ![]() Citations De Disney Etoile Des Neiges |
![]() Citations De Disney Etoile Des Neiges | Citations De Disney Etoile Des Neiges | ![]() Citations De Disney Etoile Des Neiges |
![]() Citations De Disney Etoile Des Neiges | ![]() Citations De Disney Etoile Des Neiges | ![]() Citations De Disney Etoile Des Neiges |
Citations De Disney Etoile Des Neiges | ![]() Citations De Disney Etoile Des Neiges | ![]() Citations De Disney Etoile Des Neiges |
![]() Citations De Disney Etoile Des Neiges | Citations De Disney Etoile Des Neiges | ![]() Citations De Disney Etoile Des Neiges |
![]() Citations De Disney Etoile Des Neiges | ![]() Citations De Disney Etoile Des Neiges | ![]() Citations De Disney Etoile Des Neiges |
![]() Citations De Disney Etoile Des Neiges | ![]() Citations De Disney Etoile Des Neiges | Citations De Disney Etoile Des Neiges |
![]() Citations De Disney Etoile Des Neiges |
To cite a film in a reference entry in MLA style 8th edition include the following elements Contributor (s) name, label Start with the action of the key contributor (Directed by, Performed by, Produced by, etc), follow with the name Title of the film Titles are italicized when independent If part of a larger source add quotation marks andDon't let plagiarism errors spoil your paper Scan your paper for plagiarism mistakes Get help for 7,000 citation styles including APA 6 Check for 400 advanced grammar errors Create intext citations and save them Free 3day trial Cancel anytime*️ Try Citation Machine® Plus!
Incoming Term: recherche citation film, citation film recherche du bonheur,

















































































0 件のコメント:
コメントを投稿